肠道微生物由细菌、古菌、真菌和病毒等组成。其中,肠道病毒是其它三类微生物的重要调控者,且可作为抗生素的替代品用于致病菌感染的治疗,具有重要理论研究意义和应用价值。
从宏基因组测序数据中识别病毒基因组序列是研究人类肠道病毒组成的常用方法。尽管涌现出许多相关计算工具,如何高效精准地从宏基因组样本中识别病毒序列仍然面临较大挑战。
2024年7月4日,必威西汉姆联官网必威西汉姆联官网陈卫华教授联合复旦大学赵兴明教授团队在生物信息学 top 期刊《Genome Biology》在线发表题为“VirRep: a hybrid language representation learning framework for identifying viruses from human gut metagenomes”研究论文。

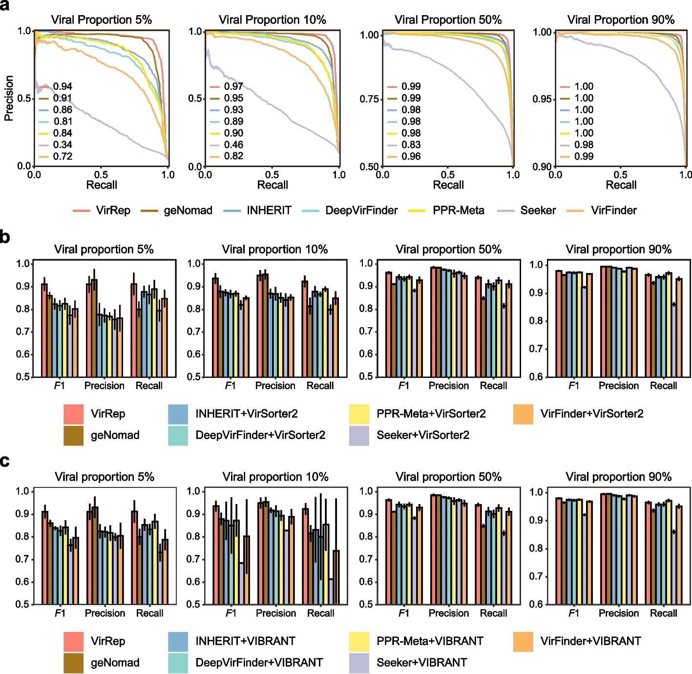
该研究开发了一种人类肠道微生物基因组语言混合表征学习框架VriRep,能够整合基因组的语义信息和序列同源性表征DNA序列,从而更精准地识别人类肠道环境中的病毒基因组。在不同病毒含量占比的多个模拟和真实数据上的测试结果表明,VirRep显著优于现有方法、甚至常用的现有方法组合(如下图所示)。

此外,利用 VirRep,研究团队在肠癌患者中鉴定了大量新的、与肠癌相关的肠道病毒(主要是噬菌体)序列。为后续功能研究奠定了基础。
综上,VirRep能够高效、精准的从肠道菌群测序中鉴定病毒序列,为肠道病毒鉴定和功能特征研究提供强大助力。
复旦大学博士研究生董彦祺为本文第一作者,复旦大学赵兴明教授、必威西汉姆联官网陈卫华教授为本文的通讯作者。本课题受到国家重点研发计划,国家自然科学基金等经费资助。
近年来,华中科技老员工命科学公司陈卫华教授团队致力于深入研究肠道病毒组、肠道噬菌体的基因工程以及肠道微生物群的调控机制,以期为理解肠道病毒群落组成与健康关系提供科学依据,为通过噬菌体精准调控肠道菌群、服务人体健康提供工具。在噬菌体相关领域与赵兴明教授团队合作已取得较系统成果,包括:(1)利用长度长技术,构建了中国人的肠道病毒目录,发现了新的噬菌体(Advanced Science,2024) ;(2)通过挖掘肠道病毒组学数据,发现了肠道病毒中存在广泛的甲基化(Advanced Science,2023) ;(3)开发了人类肠道病毒的语言表示模型,可以准确预测肠道中的病毒(Genome Biology,2024(本作));(4)发现了肠道噬菌体中存在大量的结构变异,并且这些结构变异可能是由噬菌体与其宿主之间的遗传交换所造成的(Science Advances,2024(已接收))。